본문 바로가기
주메뉴 바로가기
㈜루브캡이엔에스
메뉴
주메뉴
ABOUT US
CEO MESSAGE
HISTORY
ORGANIZATION
CERTIFICATION
PARTNERS
LOCATION
LUBRICATION SYSTEM
Single-line system
Dual-line system
Multi-line system
Progressive system
Oil Circulation system
Chain & conveyor system
Air operated/Barrel pump
Air & Oil product
Smart device
Special product
PORTFOLIO
PORTFOLIO
CUSTOMER SERVICE
News letter
Resources
Quotation & Inquiry
EN
KR
닫기
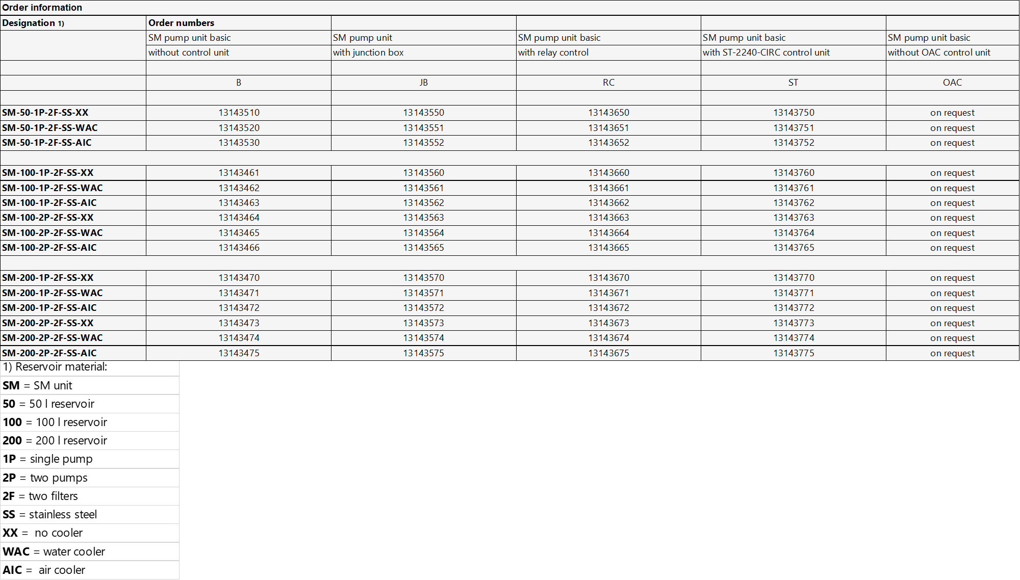
SM OIL CIRCULATION UNIT
The compact SM oil circulation unit can be designed with 50, 100 or 200 liter stainless steel reservoir.
Filter / Cooler / Heater and lots of Controller options are to be selected to design the unit.
Product specification
Download Brochures
SM BROCHURE.pdf
DOWNLOAD
More products
TLDD CLOUD CONNECTED LUBRICATOR
TLDD CLOUD CONNECTED LUBRICATOR
view more
2340-00000201 PRESSURE SWITCH/SENSOR
2340-00000201 PRESSURE SWITCH/SENSOR
view more
2340-00000108/2340-00000118 PRESSURE SWITCH/SENSOR
2340-00000108/2340-00000118 PRESSURE SWITCH/SENSOR
view more
DSD PRESSURE SWITCH
DSD PRESSURE SWITCH
view more
DSC PRESSURE SWITCH
DSC PRESSURE SWITCH
view more
DSB PRESSURE SWITCH
DSB PRESSURE SWITCH
view more
DSA PRESSURE SWITCH
DSA PRESSURE SWITCH
view more
Manual Refilling Pump MFP
Manual Refilling Pump MFP
view more
ULTRASONIC SENSOR FOR LEVEL MONITORING
LEVEL MONITORING SENSOR
view more
LAHD OIL LEVELLER
LAHD OIL LEVELLER
view more
P253 SMART PROGRESSIVE PUMP
eLube SERIES P253 PROGRESSIVE PUMP
view more
Lubrication pinion LP2/LPC
Lubrication pinion LP2/CPC
view more
CRL-101 KIT WHEEL FLANGE LUBRICATOR FOR SLOW MOVING CRANE
view more
COMPACT GREASER ETP
view more
SKF/LINCOLN FITTINGS AND ACCESSOIRES
FITTINGS AND ACCESSOIRES
view more
1154 AND GREASE GUN / ACCESSORIES
view more
WRL(WIRE ROPE LUBRICATOR)
view more
LAGD(SKF SYSTEM 24) single point lubricator
view more
SKF GREASE & OIL LUBRICANT
view more
BATTERY DRIVEN GREASE GUN LCP-PG18-460
view more
LCP CAN/DRUM TYPE GREASE PUMP
view more
505/18D PRESSURE SWITCH
view more
85139 DATALOG CONTROLLER
85139 DATALOG CONTROLLER
view more
VIBRATION SENSOR
VIBRATION SENSOR FOR CONDITION MONITORING
view more
IMx-8 / IMx-16 Multilog On-line systems
IMx-8 / IMx-16 Multilog On-line systems
view more
ST-1240 CONTROLLER
view more
ST-2240 CONTROLLER
view more
85307 IN-CAB CONTROLLER
view more
LMC 301 CONTROLLER
view more
SKF Enlight Collect IMx-1
view more
CMDT QUICKCOLLECTOR SENSOR
view more
ORSCO SPRAY SYSTEM
view more
MV203 / MV303 AIR+OIL MIXING VALVE
view more
Alemite modular oil mist generator
view more
OIL MIST GENERATOR MODEL 372X/373X SERIES
view more
OIL MIST GENERATOR MODEL 3942/3943
view more
OIL MIST GENERATOR MODEL 3920 SERIES
view more
BPH BARREL PUMP
view more
GTP/GTP-C Grease Transfer Pump
GTP/GTP-C Grease Transfer Pump
view more
EFFP Grease filling pump
EFFP Grease filling pump
view more
FLOWMASTER Electrically/Hydraulically operated pump
view more
POWERMASTER III BARREL PUMP
view more
PILEDRIVER III PUMP
view more
PMV Pump family
view more
MPB PUMP(for MAXILUBE)
view more
OCL-M(OIL CHAIN LUBRICATION-MECHANICAL) SYSTEM
view more
CLK oil projection system
view more
PMA2 MAGNETIC PUMP
view more
SM OIL CIRCULATION UNIT
For small and medium size oil circulation unit
view more
Electrically operated gerotor pump series 143
Electrically operated gerotor pump series 143
view more
OSU Oil Supply Unit
OSU Oil Supply Unit
view more
OIL CONDITIONING UNIT(OCU)
view more
RECONDOIL SYSTEM
view more
FLOWLINE Oil supply unit assembly
view more
FLOWLINE MONITOR FL15/FL50/FL100
view more
FLOWLINE MONITORING PROGRAM
view more
SAFEFLOW FLOW METERS SFXXA
SAFEFLOW FLOW METERS SFXXA
view more
IPM PULSE METER
view more
SMD FLOW METERS
view more
SMB 3 / SMB 6/ SMB 13 / SMB 14 FLOW METERS
view more
SMBM MODULAR FLOW LIMITER
view more
SFZM Gear wheel flow meter
view more
SFZ Gear wheel flow meter
view more
SSVC METERING DEVICE
view more
CLP BASIC/BASIC+ PROGRESSIVE PUMP
view more
AECP SMALL CARTRIDGE PUMP
view more
P223 / P233(PHASE OUT) PUMP
P223 PUMP
view more
PISTON DETECTOR
view more
P203 PROGRESSIVE PUMP
view more
MLP(MULTILUBE PUMP) PROGRESSIVE UNIT
view more
KFG PROGRESSIVE PUMP
view more
SSV Metering device
view more
SSVD Metering device
view more
SSVL Metering device
view more
VPG / VPM Metering device
view more
VPKM / VPKG Metering device
view more
VPB Metering device
view more
QLS 301 / QLS 311 / QLS 401 PUMP
view more
P603M / P623M / P653M ELECTRIC PUMP
P603M / P623M / P653M ELECTRIC PUMP
view more
P203 MULTI-LINE PUMP
view more
Electrically operated gear pump series ZM
MULTI-LINE or OCS gear Pump
view more
P215 PUMP
view more
P205 PUMP
view more
MAXILUBE DUAL-LINE SOLUTION
view more
SG/SGA DOSER DUAL-LINE METERING DEVICE
view more
CLV-2 CHANGEOVER VALVE
view more
MLP(MULTILUBE PUMP) DUAL-LINE UNIT
view more
PNEUMATICALLY OPERATED MP2 CHANGE OVER VALVE
view more
ZPU01 / ZPU02 PUMP
view more
ZPU08/14/24 PUMP
view more
VSKV/VSKH METERING DEVICE
view more
VSG METERING DEVICE
view more
VSL METERING DEVICE
view more
EMU3 & WSE CHANGE OVER VALVE
view more
DU1 CHANGE OVER VALVE
view more
SL-6 SINGLE-LINE INJECTOR
SL-6 high-pressure metering devices
view more
CLS Basic / Basic Plus
CLS(COMPACT LUBRICATION SINGLE-LINE) PUMP
view more
MANUAL/AIR-OPERATED SINGLE-LINE PUMP ACP/MCP
view more
KFG SINGLE-LINE PUMP
view more
310 SINGLE-LINE INJECTOR
310 SINGLE-LINE INJECTOR
view more
MLP (MULTILUBE PUMP) SINGLE-LINE UNIT
view more
SLC1/SLC2 INJECTOR
view more
SL-1 INJECTOR
view more
SL-11 INJECTOR
view more
SL-V / SL-V XL INJECTOR
view more
SL-32 / SL-32 HV INJECTOR
view more
282288 SINGLE-LINE AIR PUMP
view more
P603S / P623S / P653S ELECTRIC PUMP
view more
Back to product list