본문 바로가기
주메뉴 바로가기
㈜루브캡이엔에스
메뉴
주메뉴
회사소개
법인소개
연혁
조직도
인증서
고객사
오시는길
윤활시스템
단관식 시스템
이관식 시스템
다관식 시스템
순차식 시스템
오일 순환 시스템
체인 & 컨베이어 시스템
에어 및 베럴 펌프
에어 및 오일 제품
스마트 기기
특수 제품
포트폴리오
포트폴리오
고객센터
뉴스
자료실
기술 및 견적문의
KR
EN
닫기
SM Oil Circulation Unit(SM 오일 순환 유닛)
SM 오일 순환 유닛은 50~200의 탱크로 설계 할 수 있는 중소형 윤활 순환 시스템입니다.
필요에 따라 최대 20l/min 의 오일을 공급 할 수 있고, 히터, 쿨러, 컨트롤러 등 다양한 옵션이 있습니다.
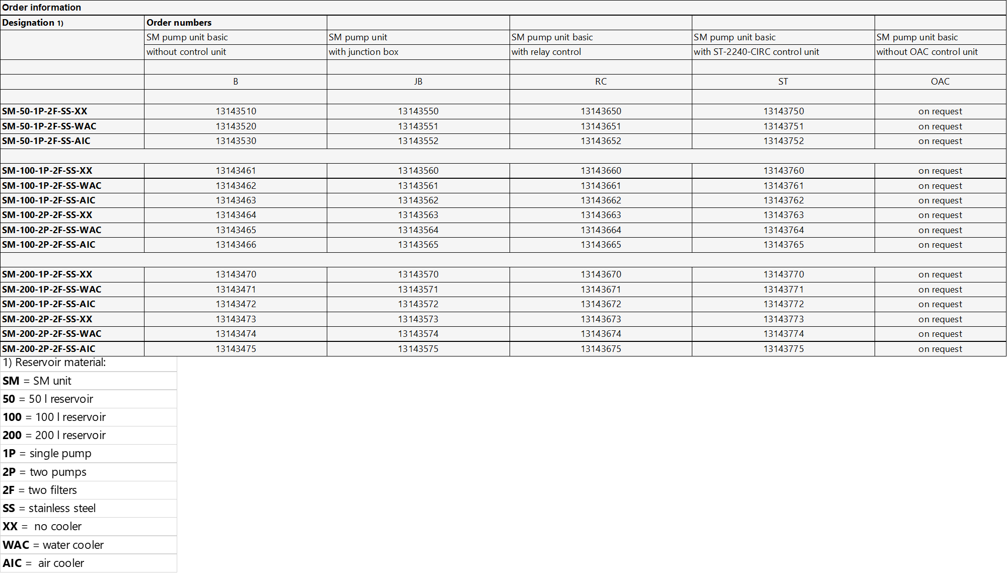
제품스펙
Download Brochures
SM BROCHURE.pdf
DOWNLOAD
제품 더보기
TLDD SYSTEM 24 그리스 컵 무선 모니터링 윤활기기
TLDD CLOUD CONNECTED LUBRICATOR
view more
2340-00000201 압력 스위치/센서
2340-00000201 PRESSURE SWITCH/SENSOR
view more
2340-00000108/2340-00000118 압력 스위치/센서
2340-00000108/2340-00000118 PRESSURE SWITCH/SENSOR
view more
DSD 압력 스위치
DSD PRESSURE SWITCH
view more
DSC 압력 스위치
DSC PRESSURE SWITCH
view more
DSB 압력 스위치
DSB PRESSURE SWITCH
view more
DSA 압력 스위치
DSA PRESSURE SWITCH
view more
MFP 수동 필링 펌프
MFP Manual Filling Pump
view more
레벨용 울트라소닉(초음파) 센서 ULTRASONIC SENSOR
ULTRASONIC SENSOR FOR TANK LEVEL
view more
LAHD 오일 레벨러
LAHD OIL LEVELLER
view more
MGH 유압 펌프
Hydraulically operated lubrication pump MGH
view more
CLP SMART 순차식 펌프
CLP SMART PROGRESSIVE PUMP
view more
CLP TOUCH 순차식 펌프
eLube SERIES CLP PROGRESSIVE PUMP WITH CONTROLLER
view more
P253 SMART 순차식 펌프
eLube SERIES P253 PROGRESSIVE PUMP
view more
LP2/LPC 루브 피니언
Lubrication pinion LP2/LPC
view more
저속 크레인용 도유기 CRL-101 키트
CRL-101 KIT WHEEL FLANGE LUBRICATOR FOR SLOW MOVING CRANE
view more
HTL 201 해머/브레이커용 펌프
HTL 201 PUMP FOR HAMMERS AND BREAKERS
view more
컵펙트 그리스 펌프 ETP
COMPACT GREASER ETP
view more
피팅 및 악세사리(FITTINGS & ACCESSORIES)
FITTINGS & ACCESSORIES
view more
1154, 수동 그리스건 및 악세사리
1154 AND GREASE GUN / ACCESSORIES
view more
와이어 로프 윤활기기 WRL
WIRE ROPE LUBRICATOR
view more
LAGD(SKF SYSTEM 24)
LAGD(SKF SYSTEM 24) single point lubricator
view more
SKF 그리스 및 오일 윤활제
SKF GREASE & OIL LUBRICANT
view more
충전식 전동 그리스건 LCP-PG18-460
BATTERY DRIVEN GREASE GUN LCP-PG18-460
view more
LCP 캔/드럼 타입 그리스 펌프
LCP CAN/DRUM TYPE GREASE PUMP
view more
505/18D PRESSURE SWITCH
압력 스위치
view more
DATALOG CONTROLLER(85139) 단관식 및 순차식 컨트롤러
DATALOG CONTROLLER(85139)
view more
진동 모니터링 센서(VIBRATION SENSOR)
CONDITION MONITORING SENSOR
view more
IMx-8 / IMx-16 온라인 유선 진동 감시 시스템
Multilog On-line systems IMx-8/16
view more
ST-1240 컨트롤러
ST-1240 CONTROLLER
view more
ST-2240 컨트롤러
ST-2240 CONTROLLER
view more
85307 컨트롤러
85307 IN-CAB CONTROLLER
view more
LMC 301 컨트롤러
LMC 301 CONTROLLER
view more
IMx-1 SKF 무선 진동 감시 시스템
SKF Enlight Collect IMx-1
view more
CMDT 퀵컬렉터 센서
CMDT QUICKCOLLECTOR SENSOR
view more
ORSCO 스프레이 시스템(VS/VSR/170/200/300)
ORSCO SPRAY SYSTEM
view more
OLA(OIL + AIR LUBRICATION) UNIT
view more
OLA(오일+에어 윤활) 유닛
OLA(OIL + AIR LUBRICATION) UNIT
view more
MV203 / MV303 믹싱 벨브
MV203 / MV303 MIXING VALVE
view more
모듈러 오일 미스트 제네레이터 3115X / 3230X
Alemite modular oil mist generator
view more
오일미스트 제네레이터 372X/373X 시리즈
OIL MIST GENERATOR MODEL 372X/373X SERIES
view more
오일미스트 제네레이터 3942/3943
OIL MIST GENERATOR MODEL 3942/3943
view more
오일미스트 제네레이터 3920(3922)
OIL MIST GENERATOR MODEL 3920 SERIES
view more
BPH 베럴 펌프
(NEW) BPH BARREL PUMP
view more
GTP/GTP-C 전기식 그리 필링 펌프
GTP/GTP-C Grease Transfer Pump
view more
EFFP 전기식 그리스 필링 펌프
EFFP ELECTRIC GREASE FILLING PUMP
view more
FLOWMASTER 전기식/공압식 펌프
FLOWMASTER Electrically/Hydraulically operated pump
view more
POWERMASTER III 펌프
POWERMASTER III BARREL PUMP
view more
PILE DRIVER III 펌프
PILEDRIVER III PUMP
view more
PMV 펌프
PMV Pump family
view more
MPB 펌프(MAXILUBE)
MPB PUMP(for MAXILUBE)
view more
OCL-M(기계식 오일 체인윤활) SYSTEM
OCL-M(OIL CHAIN LUBRICATION-MECHANICAL) SYSTEM
view more
CLK 오일 프로젝션 시스템
CLK oil projection system
view more
PMA2 마그네틱 펌프
PMA2 MAGNETIC PUMP
view more
SM Oil Circulation Unit(SM 오일 순환 유닛)
중소형의 오일 순환장치에 적합한 유닛입니다.
view more
143 전기식 지로터 펌프
Electrically operated gerotor pump series 143
view more
OSU 오일 순환 유닛
OSU Oil Supply Unit
view more
오일 컨디셔닝 유닛 OCU
OIL CONDITIONING UNIT(OCU)
view more
리컨드오일 시스템
RECONDOIL SYSTEM
view more
FLOWLINE 오일탱크 및 펌프
FLOWLINE Oil supply unit assembly
view more
FLOWLINE MONITOR FL15/FL50/FL100
FLOWLINE MONITOR 오일 순환시스템용 분배기
view more
FLOWLINE 모니터링 프로그램
FLOWLINE MONITORIG PROGRAM
view more
SAFEFLOW 플로우 미터 SFXXA
SAFEFLOW FLOW METERS
view more
IPM 펄스 미터 모니터링 컨트롤러
IPM PULSE METER
view more
SMD 플로우 미터
SMD FLOW METERS
view more
SMB 3 / SMB 6/ SMB 13 / SMB 14 플로우 미터
SMB 3 / SMB 6/ SMB 13 / SMB 14 FLOW METERS
view more
SMBM 모듈러 플로우 리미터
SMBM MODULAR FLOW LIMITER
view more
SFZM 플로우 미터
SFZM Gear wheel flow meter
view more
SFZ 플로우 미터
SFZ Gear wheel flow meter
view more
개별 포트 지정 순차식 분배변 SSVC
SSVC METERING DEVICE
view more
CLP BASIC/BASIC+ 순차식 펌프
CLP BASIC/BASIC+ PROGRESSIVE PUMP
view more
AECP 소형 카트리지 펌프
AECP SMALL CARTRIDGE PUMP
view more
P223 / P233(단종) 펌프
P223 / P233(PHASE OUT) PUMP
view more
피스톤 디텍터 센서
PISTON DETECTOR
view more
MLP(MULTILUBE PUMP) 순차식 유닛
MLP(MULTILUBE PUMP) PROGRESSIVE UNIT
view more
P203 순차식 펌프
P203 PROGRESSIVE PUMP
view more
KFG 순차식 펌프
KFG PROGRESSIVE PUMP
view more
SSV 분배기
SSV Metering device
view more
SSVD 분배변
SSVD Metering device
view more
SSVL 분배변
SSVL Metering device
view more
VPG / VPM 분배변
VPG / VPM Metering device
view more
VPKM / VPKG 분배변
VPKM / VPKG Metering device
view more
VPB 분배변
VPB Metering device
view more
QLS 301 / QLS 311 / QLS 401 펌프
QLS 301 / QLS 311 / QLS 401 PUMP
view more
P603M / P623M / P653M 전기식 펌프
P603M / P623M / P653M ELECTRIC PUMP
view more
P203 다관식 펌프
P203 MULTI-LINE PUMP
view more
ZM 다관식 및 오일 순환용 기어 펌
Electrically operated gear pump series ZM
view more
P215 펌프
P215 PUMP
view more
P205 펌프
P205 PUMP
view more
MAXILUBE 이관식 솔루션
MAXILUBE DUAL-LINE SOLUTION
view more
SG/SGA DOSER 이관식 분배변
SG/SGA DOSER DUAL-LINE METERING DEVICE
view more
CLV-2 절환변
CLV-2 CHANGEOVER VALVE
view more
MLP(MULTILUBE PUMP) 이관식 유닛
MLP(MULTILUBE PUMP) DUAL-LINE UNIT
view more
공압식 절환변 MP2
PNEUMATICALLY OPERATED MP2 CHANGE OVER VALVE
view more
ZPU 01 / ZPU 02 펌프
ZPU01 / ZPU 02 PUMP
view more
ZPU08 ZPU14 ZPU24 펌프
ZPU08/14/24 PUMP
view more
VSKV & VSKH 이관식 분배변
VSKV/VSKH Dual-line metering device
view more
VSG 분배변
VSG Metering device
view more
VSL 분배변
VSL Metering device
view more
EMU3 & WSE 절환변
EMU3 & WSE Changeover valve
view more
DU1 절환변
DU1 Changeover valve
view more
SL-6 단관식 분배변
SL-6 SINGLE-LINE INJECTOR
view more
CLS 베이직 단관식 펌프
CLS(COMPACT LUBRICATION SINGLE-LINE) PUMP
view more
공압/수동 단관식 펌프 ACP/MCP
MANUAL/AIR-OPERATED SINGLE-LINE PUMP ACP/MCP
view more
KFG 단관식 펌프
KFG SINGLE-LINE PUMP
view more
310 단관식 분배변
310 SINGLE-LINE INJECTOR
view more
MLP(MULTILUBE PUMP) 단관식 유닛
view more
SLC1 / SLC2 분배변
view more
SL-1 인젝터
view more
SL-11 인젝터
view more
SL-V / SL-V XL 인젝터
view more
SL-32 / SL-32 HV 인젝터
view more
단관식 에어펌프 282288
AIR-OPERATED SINGLE-LINE PUMP 282288
view more
P603S / P623S / P653S 전기식 펌프
view more
제품 목록으로 돌아가기